基于电压反行波差异的海上风电低频输电海缆纵联保护
作者:高校平 宋国兵 康小宁 崔 灿 闫吉飞
1 低频输电系统故障特征有何特殊之处?
图1给出了海上风电低频输电系统拓扑,海缆需汇集来自于风电场的电能,并经模块化多电平矩阵换流器(modular multilevel matrix converter,M3C)实现频率转换,从而在M3C低频侧构成了100%电力电子源场景。相较于同步机系统在负序网络中源侧只体现阻抗特性,低频输电系统负序网络中线路两侧均可体现为电源特性。根据单相接地故障和两相相间故障复合序网图,故障支路电流可由负序电流唯一确定,当M3C和海上风电场网侧变流器(grid-side converter, GSC)抑制负序电流时,尽管故障点处存在负序电压源,但两侧换流器均会生成幅值相位相同的电压源,以抵消系统中的负序电流,因此系统故障电流仍保持对称,使得故障支路的稳态电流为0。上述分析表明,虽然风电场升压变压器和M3C低频侧隔离变压器网侧中性点均采取直接接地方式,但低频输电系统在特定故障控制策略下呈现出类似于中性点非直接接地系统的故障特征。

图1 海上风电低频输电系统拓扑
2 纵联电流差动保护在低频输电系统中面临哪些挑战?
纵联电流差动保护凭借其优异性能成为新能源送出高压交流线路主保护。在同步机系统中,故障线路两侧电流基本同相,纵联电流差动保护具有很高的灵敏度。新能源场站接入强电网场景下,即便新能源侧与电网侧故障电流相位差异较大,但因二者提供故障电流幅值的能力有显著区别,当幅值差大于特定值时,使得任何电流相位差下纵联电流差动保护都能正常工作。相较于前两个场景,在低频输电系统中,纵联电流差动保护的灵敏度与GSC和M3C提供的负序电流密切相关。两者注入的负序电流越低,灵敏度越低,从而引起保护误动作。单相接地故障及两相相间故障下,当GSC和M3C均抑制其输出负序电流时,故障支路电流在稳态时理论值降为0,因此仅基于电流的稳态量保护将在原理上失效。
低频输电系统的故障特征高度依赖于线路两侧换流器故障穿越策略,目前尚未形成确定性标准化的换流器故障响应特性,因此具有普适性的低频线路保护应该独立于源特性。
3 如何利用电压反行波差异实现低频海缆纵联保护?
典型的换流器故障控制策略虽能弱化故障特征,但在故障暂态阶段,故障特征主要受到海缆中电容和电感间能量交换的影响。同时,换流器控制系统完成指定目标需要一定时间,因此故障支路电流在故障暂态阶段幅值较大并逐渐减小。充分利用该阶段的故障信息,即可实现故障识别。铠装三芯海缆包含导芯、金属屏蔽层和铠装,多导体之间存在电磁耦合,单独分析相电气量困难。对此,首先利用时域暂态信号相模变换,筛选出能够反映各种故障类型的模量。Marti模型考虑了线路频变特性,能够根据对端电压前行波准确计算本端电压反行波。为了在低采样率下实现计算,推导了基于插值的高精度电压反行波电压表达式。基于电压反行波差异的海上风电低频输电系统海缆纵联保护方案流程图如图2所示。保护启动后,首先根据本端模量信息计算本端电压反行波,然后通过对端电压前行波与传播函数间的卷积来计算本端电压反行波,最终比较二者差异以实现海缆保护。

图2 海上风电低频输电系统海缆纵联保护方案流程图
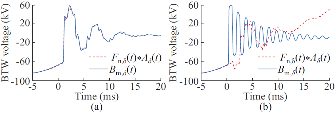
4 利用反行波电压差的海缆纵联保护性能如何?
本文对图1所示的带有3个风电场的低频输电系统进行了仿真。计算结果表明:1)如图3所示,区外故障时,由本端模量信息计算的电压反行波在故障暂态阶段基本与由对端模量计算的电压反行波重合,区内故障下二者差异明显;2)不同M3C负序电流指令下的电压反行波差异仿真结果如图4所示,结果表明,基于电压反行波差异的纵联保护在区内故障时在能在5 ms内可靠动作,而在区外故障时不动作。所提保护不受换流器故障控制策略影响,且具有较高的灵敏度。

图3 经本端与对端模量信息计算的电压反行波对比 (a) 区外故障 (b) 区内故障

图4 不同M3C负序电流指令下电压反行波差异仿真结果
5 该研究存在哪些局限性,未来的研究方向是什么?
本文所提方案需事先获知海缆各频点下的线路参数,给实际工程应用带来困难。未来的研究将聚焦于如何降低对线路参数的强依赖性。除此之外,海缆故障可能伴随着通信通道的破坏,还需研究不依靠通信及与换流器控制特性无关的保护方案。
引文信息
Xiaoping Gao, Guobing Song, Xiaoning Kang, Can Cui, and Jifei Yan. Pilot protection based on backward traveling-wave voltage difference for submarine cables of low-frequency transmission system with integrated offshore wind power [J]. Journal of Modern Power Systems and Clean Energy, 2025, 13(4): 1176-1187.
高校平:博士研究生,西安交通大学电气工程学院,主要研究方向为:新型电力系统保护与控制。
宋国兵:博士,教授,博士生导师,西安交通大学电气工程学院,主要研究方向为:电力系统继电保护。
康小宁:博士,教授,博士生导师,西安交通大学电气工程学院,主要研究方向为:电力系统继电保护。
崔灿:硕士研究生,西安交通大学电气工程学院,主要研究方向为:新型电力系统保护与控制。
闫吉飞:博士研究生,西安交通大学电气工程学院,主要研究方向为:新型电力系统保护与控制。
团队介绍
西安交通大学电力系统继电保护团队于20世纪60年代由葛耀中先生(顾毓琇电机工程奖获得者)等中国老一辈继电保护专家开创,培养了张保会、索南加乐、董新洲、徐丙垠等继电保护领域杰出专家。团队经张保会教授、索南加乐教授等知名学者发展壮大,现有教授4人,副教授4人,助理教授2人。近年来,团队面向国家能源重大战略需求,在现代电力系统故障分析与继电保护,电力变压器新型保护与安全运行,电力系统通信与电力物联网,电力系统控制保护融合,新能源电力系统安全自动装置等领域开展了大量的研究工作,主持或参与了国家重点研发计划、863/973计划、国家自然科学基金等纵向项目和国家电网公司、南方电网公司等企业的横向项目50余项,获省部级科研奖励20余项,出版教材/专著6部,发表SCI/Ei论文400余篇。
来源:电力系统自动化









评论