当前位置: 首页 > 电动汽车 > 江南app

工业和信息化部公布新一批《免征车辆购置税的新能源汽车车型目录》

工信部发布时间:2023-04-20 14:08:27

  4月17日,工业和信息化部发布《免征车辆购置税的新能源汽车车型目录》(第六十四批)公告,涵盖纯电动汽车、插电式混合动力汽车和燃料电池汽车三个大的类型。

  其中,《免征车辆购置税的新能源汽车车型目录》(第六十四批)涉及纯电动汽车、插电式混合动力汽车燃料电池汽车三大领域,比亚迪腾势N7、小鹏G6、极星2等多款车型在列。

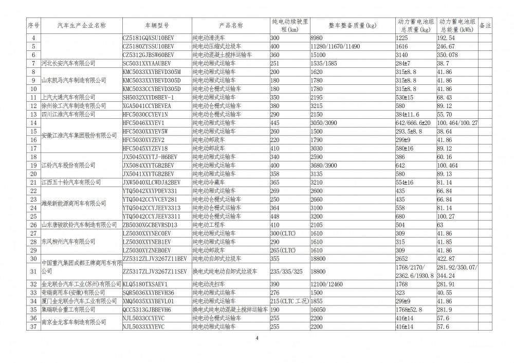
  《道路机动车辆生产企业及产品》(第369批)涉及汽车生产企业、民用改装车生产企业、汽车起重机生产企业三大类型企业,中国一汽、上汽通用、一汽丰田等多家公司在列。

  《享受车船税减免优惠的节约能源 使用新能源汽车车型目录》(第四十八批)涉及节能型汽车、新能源汽车两种类型,145种新能源汽车车型可享受车船税减免优惠。










 




评论

用户名:   匿名发表  
密码:  
验证码:
最新评论0
Baidu
map